Ειδήσεις και θέματα υγείας διατροφής και ομορφιάς. Συμβουλές για υγεία και ευεξία
Κορωνοϊός: 16.234 νέα κρούσματα - 153 στην Ηλεία, 35 θάνατοι και 346 διασωληνωμένοι
- In Υγεία
- Τελευταία ενημέρωση : 25 Μάρτιος 2022
Τα νέα εργαστηριακά επιβεβαιωμένα κρούσματα της νόσου που καταγράφηκαν τις τελευταίες 24 ώρες είναι 16.234 , εκ των οποίων 18 εντοπίστηκαν κατόπιν ελέγχων στις πύλες εισόδου της χώρας. Ο συνολικός αριθμός των κρουσμάτων ανέρχεται σε 2.900.334 (ημερήσια μεταβολή +0.6%), εκ των οποίων 49.2% άνδρες. Με βάση τα επιβεβαιωμένα κρούσματα των τελευταίων 7 ημερών, 173 θεωρούνται σχετιζόμενα με ταξίδι από το εξωτερικό και 1.281 είναι σχετιζόμενα με ήδη γνωστό κρούσμα.
Οι νέοι θάνατοι ασθενών με COVID-19 είναι 35, ενώ από την έναρξη της επιδημίας έχουν καταγραφεί συνολικά 27.160 θάνατοι. Το 95.3% είχε υποκείμενο νόσημα ή/και ηλικία 70 ετών και άνω.
Ο αριθμός των ασθενών που νοσηλεύονται διασωληνωμένοι είναι 346 (63.6% άνδρες). Η διάμεση ηλικία τους είναι 70 έτη. To 90.8% έχει υποκείμενο νόσημα ή/και ηλικία 70 ετών και άνω. Μεταξύ των ασθενών που νοσηλεύονται διασωληνωμένοι, 214 (61.85%) είναι ανεμβολίαστοι ή μερικώς εμβολιασμένοι και 132 (38.15%) είναι πλήρως εμβολιασμένοι. Από την αρχή της πανδημίας έχουν εξέλθει από τις ΜΕΘ 4.430 ασθενείς. Οι εισαγωγές νέων ασθενών Covid-19 στα νοσοκομεία της επικράτειας είναι 417 (ημερήσια μεταβολή +1.21%). Ο μέσος όρος εισαγωγών του επταημέρου είναι 374 ασθενείς.Η διάμεση ηλικία των κρουσμάτων είναι 35 έτη (εύρος 0.2 έως 112 έτη), ενώ η διάμεση ηλικία των θανόντων είναι 79 έτη (εύρος 0.2 έως 106 έτη).
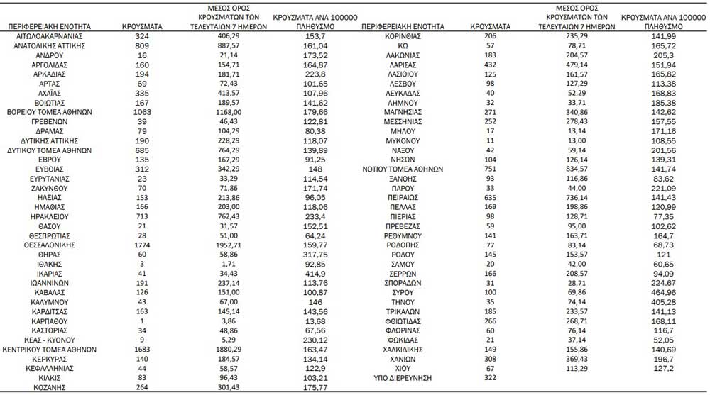
Κατανομή ανακοινωθέντων εγχώριων κρουσμάτων: Από το σύνολο των 16.234 νέων κρουσμάτων του νέου ιού στη χώρα 23 είναι εισαγόμενα εκ των οποίων 18 εντοπίστηκαν κατόπιν ελέγχων στις πύλες εισόδου της χώρας . Η κατανομή των 16.211 νέων εγχώριων κρουσμάτων ανά Περιφερειακή Ενότητα παρουσιάζεται στον κατωτέρω πίνακα.

photo: pixabay



