Ειδήσεις και θέματα υγείας διατροφής και ομορφιάς. Συμβουλές για υγεία και ευεξία
Κορωνοϊός: 27.766 νέα κρούσματα - 340 στην Ηλεία, 85 θάνατοι και 654 διασωληνωμένοι
- In Υγεία
- Τελευταία ενημέρωση : 10 Ιανουάριος 2022
Τα νέα εργαστηριακά επιβεβαιωμένα κρούσματα της νόσου που καταγράφηκαν τις τελευταίες 24 ώρες είναι 27.766 , εκ των οποίων 85 εντοπίστηκαν κατόπιν ελέγχων στις πύλες εισόδου της χώρας. Ο συνολικός αριθμός των κρουσμάτων ανέρχεται σε 1.535.382 (ημερήσια μεταβολή +1.8%), εκ των οποίων 49.9% άνδρες. Με βάση τα επιβεβαιωμένα κρούσματα των τελευταίων 7 ημερών, 610 θεωρούνται σχετιζόμενα με ταξίδι από το εξωτερικό και 1.727 είναι σχετιζόμενα με ήδη γνωστό κρούσμα.
Οι νέοι θάνατοι ασθενών με COVID-19 είναι 85, ενώ από την έναρξη της επιδημίας έχουν καταγραφεί συνολικά 21.479 θάνατοι. Το 95.1% είχε υποκείμενο νόσημα ή/και ηλικία 70 ετών και άνω.
Ο αριθμός των ασθενών που νοσηλεύονται διασωληνωμένοι είναι 654 (57.6% άνδρες). Η διάμεση ηλικία τους είναι 64 έτη. To 80.6% έχει υποκείμενο νόσημα ή/και ηλικία 70 ετών και άνω. Μεταξύ των ασθενών που νοσηλεύονται διασωληνωμένοι, 545 (83.33%) είναι ανεμβολίαστοι ή μερικώς εμβολιασμένοι και 109 (16.67%) είναι πλήρως εμβολιασμένοι. Από την αρχή της πανδημίας έχουν εξέλθει από τις ΜΕΘ 3.828 ασθενείς. Οι εισαγωγές νέων ασθενών Covid-19 στα νοσοκομεία της επικράτειας είναι 536 (ημερήσια μεταβολή -15.19%). Ο μέσος όρος εισαγωγών του επταημέρου είναι 570 ασθενείς.Η διάμεση ηλικία των κρουσμάτων είναι 36 έτη (εύρος 0.2 έως 106 έτη), ενώ η διάμεση ηλικία των θανόντων είναι 78 έτη (εύρος 0.2 έως 106 έτη).
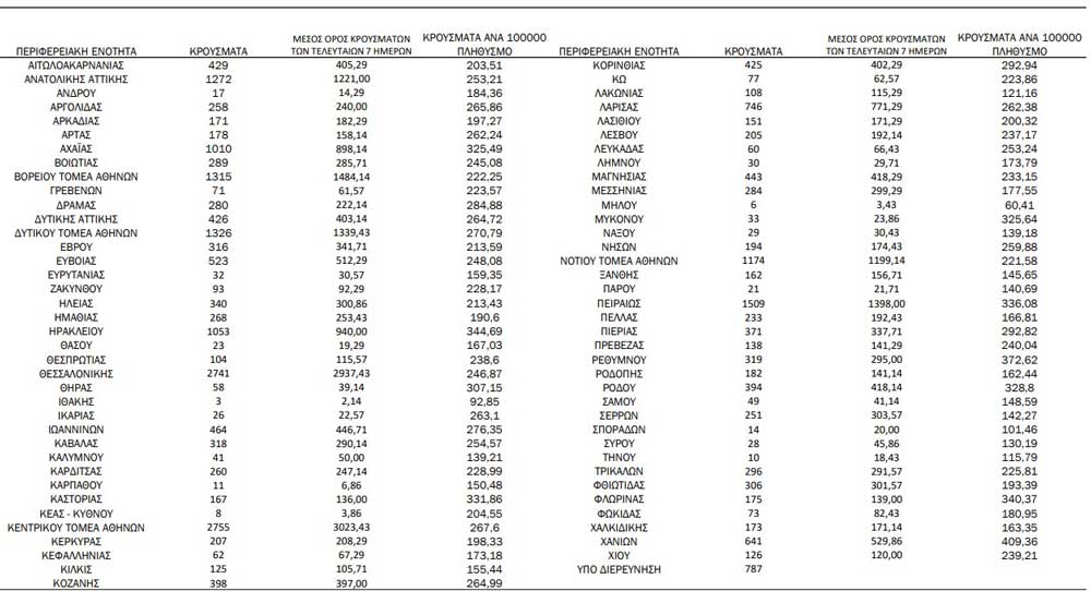
Κατανομή ανακοινωθέντων εγχώριων κρουσμάτων: Από το σύνολο των 27.766 νέων κρουσμάτων του νέου ιού στη χώρα 105 είναι εισαγόμενα εκ των οποίων 85 εντοπίστηκαν κατόπιν ελέγχων στις πύλες εισόδου της χώρας . Η κατανομή των 27.661 νέων εγχώριων κρουσμάτων ανά Περιφερειακή Ενότητα παρουσιάζεται στον κατωτέρω πίνακα.

photo: pixabay



