Ειδήσεις και θέματα υγείας διατροφής και ομορφιάς. Συμβουλές για υγεία και ευεξία
Κορωνοϊός: 3232 νέα κρούσματα - 27 στην Ηλεία, 70 θάνατοι και 755 διασωληνωμένοι
- In Υγεία
- Τελευταία ενημέρωση : 03 Απρίλιος 2021
Τα νέα εργαστηριακά επιβεβαιωμένα κρούσματα της νόσου που καταγράφηκαν τις τελευταίες 24 ώρες είναι 3.232, εκ των οποίων 4 εντοπίστηκαν κατόπιν ελέγχων στις πύλες εισόδου της χώρας. Ο συνολικός αριθμός των κρουσμάτων ανέρχεται σε 273.459 (ημερήσια μεταβολή +1.2%), εκ των οποίων 51.5% άνδρες. Με βάση τα επιβεβαιωμένα κρούσματα των τελευταίων 7 ημερών, 93 θεωρούνται σχετιζόμενα με ταξίδι από το εξωτερικό και 3.270 είναι σχετιζόμενα με ήδη γνωστό κρούσμα.
Οι νέοι θάνατοι ασθενών με COVID-19 είναι 70, ενώ από την έναρξη της επιδημίας έχουν καταγραφεί συνολικά 8.302 θάνατοι. Το 95.7% είχε υποκείμενο νόσημα ή/και ηλικία 70 ετών και άνω.
Ο αριθμός των ασθενών που νοσηλεύονται διασωληνωμένοι είναι 755 (65.4% άνδρες). Η διάμεση ηλικία τους είναι 68 έτη. To 83.2% έχει υποκείμενο νόσημα ή/και ηλικία 70 ετών και άνω. Από την αρχή της πανδημίας έχουν εξέλθει από τις ΜΕΘ 1.746 ασθενείς. Οι εισαγωγές νέων ασθενών Covid-19 στα νοσοκομεία της επικράτειας είναι 449 (ημερήσια μεταβολή -20.11%). Ο μέσος όρος εισαγωγών του επταημέρου είναι 476 ασθενείς.Η διάμεση ηλικία των κρουσμάτων είναι 44 έτη (εύρος 0.2 έως 105 έτη), ενώ η διάμεση ηλικία των θανόντων είναι 79 έτη (εύρος 0 έως 103 έτη).
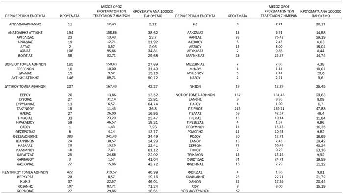
Κατανομή ανακοινωθέντων εγχώριων κρουσμάτων: Από το σύνολο των 3.232 νέων κρουσμάτων του νέου ιού στη χώρα 5 είναι εισαγόμενα εκ των οποίων 4 εντοπίστηκαν κατόπιν ελέγχων στις πύλες εισόδου της χώρας. Η κατανομή των 3.227 νέων εγχώριων κρουσμάτων ανά Περιφερειακή Ενότητα παρουσιάζεται στον κατωτέρω πίνακα.

photo: pixabay



