Πανελλαδικές 2024 - Θέματα & Απαντήσεις
Πανελλαδικές 2021: Οι απαντήσεις σε Ιστορία, Φυσική και Οικονομία [Προσανατολισμού]
- In Πανελλαδικές 2024
- Τελευταία ενημέρωση : 22 Ιούνιος 2021
Διαβάστε αναλυτικά
τις απαντήσεις σε Ιστορία, Φυσική και Οικονομία [Προσανατολισμού], σε συνεργασία με το Φροντιστήριο «ΑΛΜΑ».
ΕΝΔΕΙΚΤΙΚΕΣ ΑΠΑΝΤΗΣΕΙΣ ΙΣΤΟΡΙΑΣ ΠΡΟΣΑΝΤΟΛΙΣΜΟΥ
ΘΕΜΑ Α1
Α. Σχολικό βιβλίο σελ. 140 - 141 « Τον Ιούλιο του 1914 … να αποκτήσουν γεωργικό κλήρο»
Β. Σχολικό βιβλίο σελ. 140 « Το Νοέμβριο του 1919 … της συνθήκης»
Γ. Σχολικό βιβλίο σελ 96 « Η Συνθήκη των Σεβρών … πραγματικότητα» και σελίδα 144 « Τον Ιούλιο του 1920 … στην Ελλάδα»
ΘΕΜΑ Α2
α. Σωστό
β. Σωστό
γ. Σωστό
δ. Λάθος
ε. Λάθος
Β1. Σχολικό βιβλίο σελ. 50 – 51 « Το Νοέμβριο του 1920 … βαρύτατες συνέπειές της»
Β2. α) Σχολικό βιβλίο σελ. 46 «Οι διαφορές του αγροτικού προβλήματος … εργατικής ιδεολογίας στη χώρα»
β) Σχολικό βιβλίο σελ. 46 – 47 «Στη διάρκεια του Πρώτου Παγκοσμίου πολέμου … Κομμουνιστικό Κόμμα Ελλάδος»
ΟΜΑΔΑ ΔΕΥΤΕΡΗ
ΘΕΜΑ Γ1
α) Σχολικό βιβλίο σελ. 149 - 151 « Στις 24 Ιουλίου 1923 υπογράφηκε … κάποιων επίμαχων περιοχών» και σελ. 152 « Με βάση το άρθρο 11 … των ανταλλαξίμων»
Από το Κείμενο Α
- υποχρεωτική ανταλλαγή ανάμεσα στις δύο χώρες με βάση τη θρησκεία και όχι τη γλώσσα ή τα ήθη των ανταλλαξίμων
- η ανταλλαγή έγινε παρά τη θέληση των Τουρκόφωνων ελληνορθόδοξων και ελληνόφωνων μουσουλμάνων
- σύμφωνα με το σχέδιο αυτό 585.000 μουσουλμάνοι θα ανταλλάσσονταν με 1.300.000 χριστιανούς ορθοδόξους, πρόκειται δηλαδή για μαζική μετακίνηση πληθυσμών
Από το Κείμενο Β
- η υποχρεωτική ανταλλαγή έδινε τη δυνατότητα να χρησιμέψουν οι ακίνητες περιουσίες των μουσουλμάνων της Ελλάδος για την αποκατάσταση των προσφύγων στην Ελλάδα
β) Σχολικό βιβλίο σελ. 152 « Εξάλλου η υπογραφή της Σύμβασης … Κοινωνία των Εθνών»
Από το Κείμενο Α
- δεν ήταν μια ανταλλαγή πληθυσμών και περιουσιακών στοιχείων αλλά ένας τρόπος απέλασης του μουσουλμανικού στοιχείου από την Ελλάδα και εκδίωξη των Ελλήνων από την Τουρκία
Από το Κείμενο Β
- ήταν ένας τρόπος αποτροπής μιας βλαπτικής έκβασης των ελληνικών συμφερόντων και ελληνικών πληθυσμών
- Εξυπηρετούνταν περισσότερο η Τουρκία και όχι η Ελλάδα καθώς εξακολουθούσαν να παραμένουν στην Ελλάδα περίπου 500.000 Τούρκοι
Από το Κείμενο Γ
- Ο Βενιζέλος γνωρίζει πώς οι Τούρκοι δεν θα δέχονταν την παρουσία των Ελλήνων γι’ αυτό δέχθηκε την υποχρεωτική ανταλλαγή
- Η αποκατάσταση και στέγαση των προσφύγων ήταν δυσχερής
- Ζητά τη λήψη μέτρων για την επίτευξη της άμεσης μετακίνησης πριν την υπογραφή της ειρήνης.
ΘΕΜΑ Δ1
α) Σχολικό βιβλίο σελ. 42 – 43 « (Αργότερα όμως), η διεύρυνση του ελληνικού κράτους … τεχνητές ελλείψεις»
Από το Κείμενο Α
- το 1881 – 1895 εμφανίσθηκε το πρόβλημα της μεγάλης γαιοκτησίας στη Θεσσαλία και την Άρτα
- ιδιοκτήτες δεν ήταν οι επαρχιακοί προύχοντες αλλά οι Έλληνες του εξωτερικού
β) Σχολικό βιβλίο σελ. 43 « Οι πρακτικές αυτές δημιούργησαν εντάσεις … μεγάλων εκτάσεων» και Σελ. 81 « Στα εδάφη της Θεσσαλίας … θέσης τους» .
Από το Κείμενο Α
- ως το 1881, το ελληνικό κράτος είχε καταπολεμήσει τη μεγάλη ιδιοκτησία
- η κυβέρνηση Τρικούπη ευνοούσε τους μεγαλογαιοκτήμονες
- ο Τρικούπης υποστήριξε τους πλουσίους ομογενείς τόσο από νομική και δικαστική άποψη όσο και από άποψη οικονομικής πολιτικής λόγω της ιδιότητας των νέων αγοραστών των κτημάτων
Από το Κείμενο Β
- Ο Δηλιγιάννης είχε καταθέσει νομοσχέδια για τη χορήγηση γης στους αγρότες, για τη δημιουργία ταμείων αγροτικής πίστης και για τη σχέση μεταξύ τσιφλικάδων και αγροτών
Από το Κείμενο Γ
- Η κυβέρνηση Θεοτόκη ψήφισε νόμο «Περί εξώσεως δυστροπούντων ενοικιαστών» με τον οποίο επέβαλε πειθαρχία των κολίγων
- Κατάθεσε το 1906 νέο νομοσχέδιο που περιόριζε τα δικαιώματα των κολίγων που όμως δεν ίσχυσε λόγω της αντίδρασης των γαιοκτημόνων
ΦΡΟΝΤΙΣΤΗΡΙΟ «ΑΛΜΑ»
Φιλολογική ομάδα
Βόλλαρη Εξακουστή
Δάββου Σοφία
Λούπη Βασιλική
Μιχαηλίδη Αθηνά
Παναγιωτοπούλου Όλγα
Πανοπούλου Ιωάννα
Παπαδόπουλος Σάκης
Τσουκαλά Αναστασία




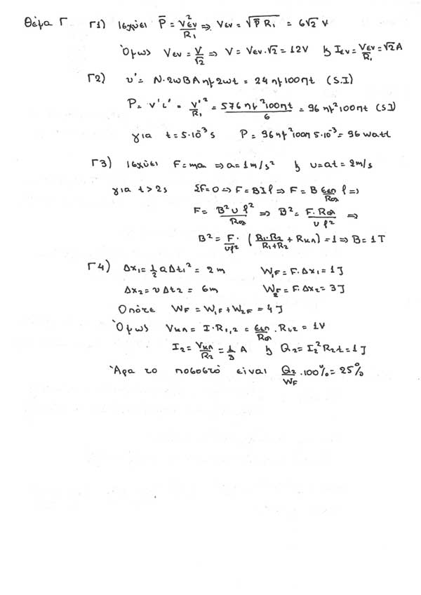
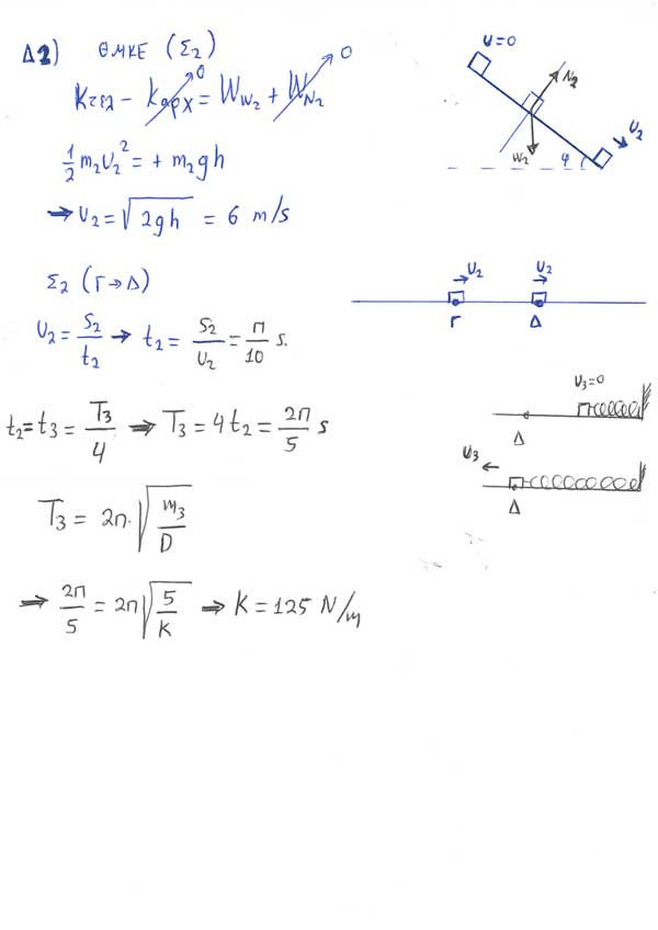
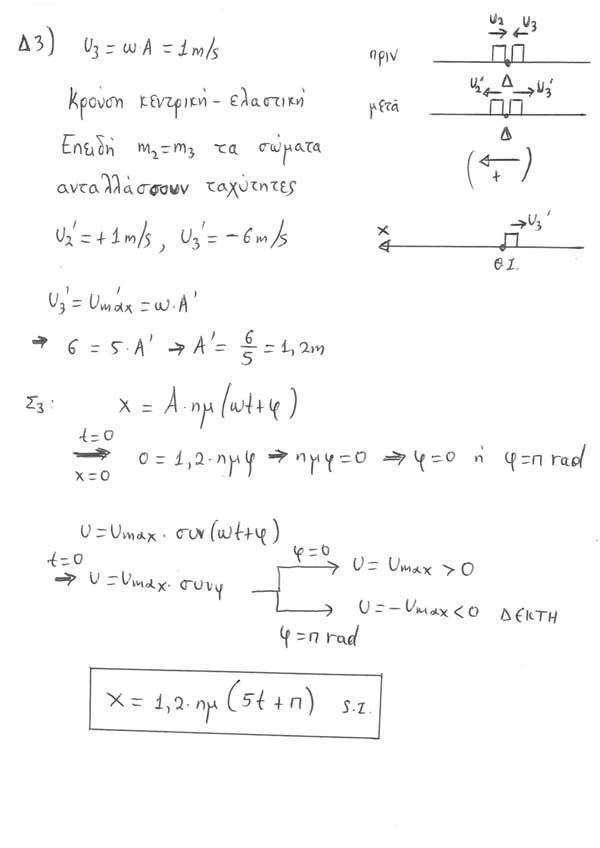
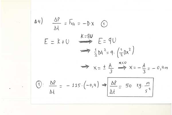
ΑΠΑΝΤΗΣΕΙΣ ΣΤΗΝ ΦΥΣΙΚΗ ΠΡΟΣΑΝΑΤΟΛΙΣΜΟΥ










