25Απρίλιος2026

Βρίσκεστε εδώ: Πρωτοσέλιδο | Ελλάδα | Κορωνοϊός: 1.410 νέα κρούσματα-17 στην Ηλεία, 21 θάνατοι και 293 διασωληνωμένοι

Οι Εξελίξεις στην Ελλάδα - Ειδήσεις τελευταία νέα και επικαιρότητα

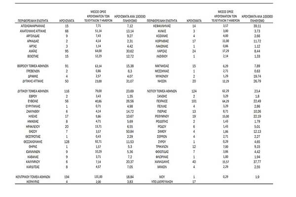
Κορωνοϊός: 1.410 νέα κρούσματα-17 στην Ηλεία, 21 θάνατοι και 293 διασωληνωμένοι

Σήμερα ανακοινώνουμε 1410 νέα κρούσματα της λοίμωξης του νέου κορωνοϊού (COVID-19), εκ των οποίων 0 εντοπίστηκαν κατόπιν ελέγχων στις πύλες εισόδου της χώρας.

Ο συνολικός αριθμός των κρουσμάτων ανέρχεται στα 170244, εκ των οποίων 51.9% άνδρες. Κατά την ιχνηλάτιση βρέθηκε ότι 6086 (3.6%) θεωρούνται σχετιζόμενα με ταξίδι από το εξωτερικό και 54695 (61.1%) είναι σχετιζόμενα με ήδη γνωστό κρούσμα.

293 άτομα νοσηλεύονται διασωληνωμένοι. Η διάμεση ηλικία τους είναι 70 έτη. 213 (72.7%) εκ των διασωληνωμένων είναι άνδρες. To 86.3%, των διασωληνωμένων, έχει υποκείμενο νόσημα ή είναι ηλικιωμένοι 70 ετών και άνω.1204 ασθενείς έχουν εξέλθει από τις ΜΕΘ από την αρχή της πανδημίας.

Τέλος, έχουμε 21 νέους θανάτους από τη νόσο COVID-19, φθάνοντας τους 6077 θανάτους συνολικά στη χώρα, εκ των οποίων 3574 (58.8%) άνδρες. Η διάμεση ηλικία των θανόντων συμπολιτών μας ήταν τα 79 έτη και το 95.6% είχε κάποιο υποκείμενο νόσημα ή/και ηλικία 70 ετών και άνω.

Καταγραφή

myILIAnews.gr

Ειδήσεις-Ενημέρωση από την Ηλεία, την Ελλάδα και όλο τον κόσμο!